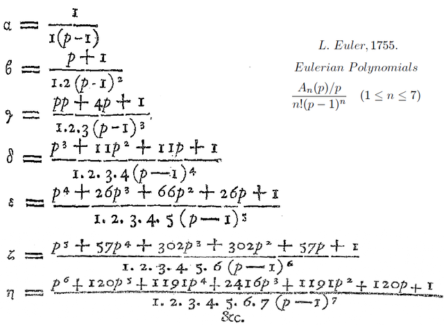
【悲報】数学、要らない… Twitter Facebook はてブ LINE コピー 2023.04.12 スポンサーリンク 1: 名無しさん@おーぷん 23/04/12(水) 16:25:32 ID:V1wh 数学って別に勉強せんでも余裕で生きていけるよなもっと早く気づけばよかった 「哲学的ゾンビ」 「世界5分前仮説」←有り得ないと解りつつ不安になるよな 続きを読む